Growth analysis and sex ratio of fish species from the Ovia River, Edo State, Nigeria

Ukpamufo Cyril Olowo,

Nkonyeasua Kingsley Egun*,

Aisosa Precious Ehigiator,

Ijeoma Patience Oboh

Department of Animal and Environmental Biology, Faculty of Life Science, University of Benin, Benin City, Edo State, Nigeria

This study investigated the length-weight relationships, the condition factor, and the sex ratio of Hemichromis fasciatus, Synodontis nigrita, and Tilapia zillii in the Ovia River, Edo State, Nigeria. Fish specimens were collected with the assistance of artisanal fishermen using fishing traps, cast and gill nets of various mesh sizes from February to April 2021. Taxonomical identification, morphometric measurements, and macroscopic examination of the fresh gonads were carried out. The linear regression equation was used to determine the relationship between fish length and body weight, while the condition factor and the sex ratio were analysed using standard techniques. Length-weight relationship (LWR) showed a significant (p < 0.05) correlation and the growth exponent b = 2.973, 2.340, and 2.565 for H. fasciatus, S. nigrita and T. zillii, respectively, indicated a negative allometric growth pattern. Mean condition factor values ranged from 2.34 to 5.68 and was indicative of good health condition for the fishes. Sex ratios did not differ significantly (p > 0.05) from the one male to one female distribution in H. fasciatus (1:1.11), S. nigrita (1:0.89), and T. zillii (1:0.93). The study has provided information on some aspects of the fish biology of Hemichromis fasciatus, Synodontis nigrita, and Tilapia zillii in the Ovia River, and these data are helpful tools for fisheries management and conservation of freshwater fishes.

Keywords: freshwater fishes, length-weight relationship, negative allometric growth, condition factor, artisanal fisheries, the Ovia River

INTRODUCTION

The world’s fishes have enjoyed an effusive proliferation that has produced an estimated 32,600 living fish species in 536 families and 85 orders, more than all other species of vertebrates combined (Nelson et al., 2016). The success of the fishing industry depends largely on the growth and reproductive potential of the respective fish species, while development and improvement of fish species mostly depends on the knowledge of its biology such as the shape and structure of fins and fin rays, which show modifications due to varied swimming habits, habitat, sex, growth factors, age, and size of the fishes (Weisel, 2000). The condition and length-weight parameters of the aquatic species are relevant to understanding their growth and development.

Length-weight relationships are useful for a wide number of studies, such as estimating growth rates, the age structure, and other aspects of fish population dynamics (Tsoumani et al., 2006). Also, length-weight relationships are useful for comparisons of life histories of a certain species between regions (Nurul-Amin et al., 2009). Several authors have researched the length-weight relationships and the condition factor of freshwater fishes (Adeyemi, 2010; Oribhabor et al., 2011; Obasohan et al., 2012; Dan-Kishiya, 2013; Ikongbeh et al., 2013; Faguaro et al., 2016; Konan et al., 2017; Dienye, Olopade, 2018; Omotayo et al., 2018; Olapade et al., 2019; Kefas et al., 2020). Studies on the sex ratio provide information on the proportion of male to female fish in a population; it also indicates the dominant sex in a given population and is basic information necessary for fish reproduction and stock size assessment (Vicentini, Araujo, 2003). Variation in the adult sex ratio is often the result of factors that cause sex-biased mortality. These factors could include predation (Berger, Gompper, 1999; Sommer, 2000), parasitism, resource limitation, and reproductive costs (Promislow, 2003; Liker, Székely, 2005).

In Nigeria, the greater part of inland fisheries is artisanal and provides families with food and income (Adaka et al., 2014; Egun, Oboh, 2022). The present study was undertaken to ascertain the pattern of growth, general well-being, and sex ratio of selected fish species: Hemichromis fasciatus, Synodontis nigrita, and Tilapia zillii in the Ovia River at Unuamen community, Edo State, Nigeria.

MATERIALS AND METHODS

Description of the study area. This study was carried out in the Ovia River, which flows within the region of swamp forests of Edo State, Nigeria. The Ovia River is a tributary of the Benin River and empties into the Atlantic Ocean (Fig. 1). It provides several ecosystem functions and services to the aquatic fauna and the people residing along the watercourse.

img

Fig. 1. The Ovia River showing the sampling site in Unuamen Community, Edo State. Inset: Map of Nigeria (A), Map of Edo State (B)

Collection of fish samples and identification. The fish species selected for the study were collected at the landing site in Unuamen Community (latitudes 06°33’60’’ N and 005’3114’’ E), Edo State, fortnightly for a period of three months from February to April 2021, with the assistance of artisanal fishermen using fishing traps, cast and gill nets of various mesh sizes. The fish samples were preserved in ice blocks and transported to the laboratory. Samples were properly identified using taxonomic guides of Idodo-Umeh (2003) and counted to determine species abundance.

Laboratory analysis. Morphometric measurements of the standard length, total length, and body weight of all fish samples were taken to the nearest 0.1 cm and 0.1 g using a metre rule and a digital electronic weighing balance (Mettler Toledo, PL203 model), respectively.

Sex determination and sex ratio. The sex of each fish specimen was determined by macroscopic examination of the fresh gonads after dissection. The sexed specimens were categorised into males and females for each species. The total number of each sex for the various species was pooled monthly, and the ratio of males to females was determined for each species.

The chi-square analysis was calculated using the equation:

X 2 = ( F i f i ) 2 F i

where, fi = observed frequency, Fi = expected frequency

Length-weight relationship (LWR). The LWRs of the fishes were calculated using the equation:

W = aLb

where W = the observed total weights of the fishes in grams.

L = the observed standard lengths in centimetres.

a and b are constants.

b is the slope usually between 2 and 4, and a is the intercept on the length axis (Bagenal, 1978).

The logarithmic transformation of the equation gives a straight-line relationship

Log W = Log a + b Log L.

When Log10W is against plotted Log10L, the regression coefficient is b, and Log a is the intercept on the Y axis.

Condition factor (K). This was computed for the individual fish according to Le-Cren (1951), using the equation:

K= 100 W L 3

where K = condition factor.

L = standard length in centimetres.

W = body weight of fish in grams.

Data analysis. The data in this study were analysed using the statistical package for social sciences (SPSS) version 16.0. The chi-square test was performed on monthly and overall sex ratios of the population. One-way analysis of variance (ANOVA) was carried out to test for significant differences. Regression analysis was used to test for linear relationships.

RESULTS

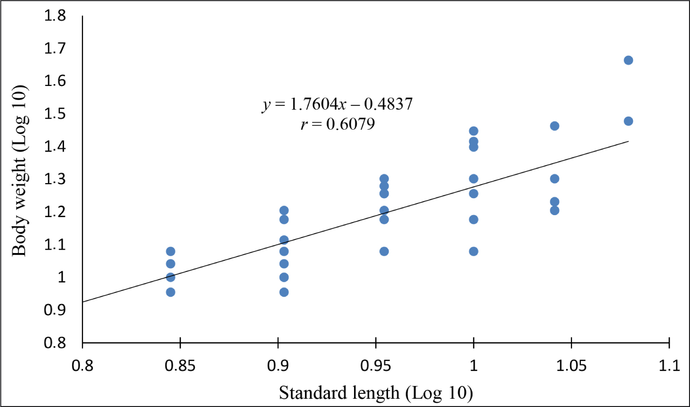
Length-weight relationship (LWR). The ranges for the standard length and weight for H. fasciatus (SL: 7.00 to 13.00 cm; weight: 9.00 to 142.00 g), S. nigrita (SL: 6.00 to 12.00 cm; weight: 9.00 to 46.00 g) and T. zilli (SL: 5.00 to 12.00 cm; weight: 10.00 to 113.00 g) were recorded. A significant length-weight relationship (p < 0.05) with the correlation coefficient (r) value of 0.527 was recorded for H. fasciatus. The value for the slope (b) indicated negatively allometric growth (2.973) (Fig. 2). A plot of body weight against standard length for S. nigrita showed a significant (p < 0.05) positive correlation, with r value of 0.608 (Fig. 3). The slope (b) produced the value of 2.340, which indicated a negative allometric growth pattern. Length-weight relationship was highly significant for T. zilli (p < 0.001) with r value of 0.779. The slope (b value) 2.565 indicated negative allometric growth (Fig. 4).

img

Fig. 2. Length-weight relationship of Hemichromis fasciatus from the Ovia River

img

Fig. 3. Length-weight relationship of Synodontis nigrita from the Ovia River

img

Fig. 4. Length-weight relationship of Tilapia zilli from the Ovia River

Condition factor (K). The values of the mean condition factor (K) for the selected fish species in this study ranged from 2.13 to 6.17 and was the highest in H. fasciatus, followed by T. zilli, while S. nigrita was the least (Fig. 5).

img

Fig. 5. Condition factors of fish species from the Ovia River

Sex ratio. Fish specimens collected during the period of study had observable gonads. The summary of the sex ratio for H. fasciatus, S. nigrita, and T. zilli are presented in Tables 1, 2, and 3, respectively. For H. fasciatus (1:1.11), S. nigrita (1:0.89), and T. zilli (1:0.93), it was observed that the population did not differ significantly (p < 0.05) from the 1:1 expected distribution.

Table 1. Monthly and overall sex ratio of Hemichromis fasciatus from the Ovia River

MONTH No. of fish sexed No. of males No. of females Sex ratio (M:F)
February 2021 1 1 0 1:0
March 2021 0 0 0 0:0
April 2021 18 8 10 1:1.25
Total 19 9 10 1:1.11

Table 2. Monthly and overall sex ratio of Synodontis nigrita from the Ovia River

MONTH No. of fish sexed No. of males No. of females Sex ratio (M:F)
February 2021 3 3 0 3:0
March 2021 2 0 2 0:2
April 2021 30 16 14 1:0.93
Total 35 19 16 1:0.89

Table 3. Monthly and overall sex ratio of Tilapia zilli from the Ovia River

MONTH No. of fish sexed No. of males No. of females Sex ratio (M:F)
February 2021 7 4 3 1:0.75
March 2021 0 0 0 0:0
April 2021 21 11 10 1:1
Total 28 15 13 1:0.93

DISCUSSION

Length-weight relationship (LWR). Length-weight relationship of fishes, also known as the growth index, is an important management tool used in fisheries and fish biology since it permits the assessment of the average weight of the fish of a given length group by establishing a mathematical relation between them (Araoye, 2004; Sarkar et al., 2008; Abowei, Hart, 2009; Mir et al., 2012; Singh, Nautiyal, 2017). The b values of 2.9733, 1.7604, and 2.5646 obtained for Hemichromis fasciatus, Synodontis nigrita, and Tilapia zilli indicated that growth was negatively allometric. This could probably occur due to the landing of mainly sexually immature and juvenile fish which were in active growth stages of their lifecycles (Anyanwu, Ugwumba, 2003; Muyideen et al., 2010). The length-weight relationship observed showed positive correlation coefficients, specifying an increase in the weight as the length increases. Negative allometric growth reported in this study was similarly observed by Adeyemi (2010) for Protopterus annectens (2.55); Dan-Kishiya (2013) for Tilapia zilli (2.2–2.3), Tilapia mariae (1.4– 1.6), Oreochromis niloticus (2.1–2.3), Barbus occidentalis (1.9–2.2), and Barilius loati (2.3–2.4); Dienye and Olopade (2018) for Ethmalosa fimbriata (2.13); Olapade et al., (2019) for Lates niloticus (2.66), and Notopterus afer (2.70), and Kefas et al., (2020) for Oreochromis niloticus (1.0637). The b value of 1.7604 recorded for S. nigrita was lesser than that for the same species (2.997 and 2.675) (Akombo et al., 2011 and 2014) and for related species; Synodontis resupinatus were b = 2.990 (Akombo et al., 2011), values of 3.051 and 3.096, indicative of isometric growth were reported for Synodontis clarias and Synodontis membranaceus from the lower Benue River (Akombo et al., 2011) and Elias (2016), who reported positive allometric growth (3.24) for S. schall from Lake Chamo, Ethiopia. A value lower than 3.0 shows that the fish become lighter (negative allometric); a value higher than 3.0 indicates that the fish become heavier (positive allometric) for a particular length as it increases in size (Zafa et al., 2003). Le-Cren (1951) and Fagbenro et al. (1991) stated that the obedience to the cube law (isometric growth, b = 3) is rare in the majority of fishes. The relationship can be influenced by several factors such as sex, gonad maturity, health of the fish, seasonal effect, the degree of stomach fullness, preservation techniques, and differences in the observation length ranges of the specimen weight (Tesch, 1971). Synodontis schall was comparable to that (2.855) from the Benue River by Akombo et al. (2014).

Condition factor (K). The condition factor is a veritable tool for assessing the health status of the aquatic ecosystem (Abowei, 2009; Ighwela et al., 2011). Mean condition factor (K) values observed in this study ranged from 2.13 to 6.17 for H. fasciatus, S. nigrita, and T. zilli. This was outside the range of 2.9 to 4.8 reported by Omotayo et al. (2018), as the recommended range suitable for mature freshwater species in the tropics is 2.9 to 4.8. The observed values were indicative of a good health condition for H. fasciatus, S. nigrita, and T. zilli and comparable to that reported for S. schall (2.855) from the Benue River by Akombo et al. (2014). The mean values in this study were in contrast to those of Adeyemi (2010) for P. annectens (0.23 to 0.76), Olowosegun and Ataguba (2010) for H. forskali and H. brevis (1.313 and 1.431), Obasohan et al. (2012) for P. afer, P. obscura, M. electricus, T. mariae, and O. niloticus (<1), Dan-Kishiya (2013) for T. zilli, T. mariae, O. niloticus, B. occidentalis, and B. loati (1.06 and 2.02), Ikongbeh et al. (2013) for A. occidentalis (1.53), Omotayo et al., (2018) for T. zillii, O. niloticus and M. anguilodes (>1), Fagbuaro et al., (2019) for C. gariepinus (<1), and Kefas et al. (2020) for Oreochromis niloticus (2.03). The condition factor is also a useful index for monitoring of the feeding intensity, age and growth rates in fish (Ndimele et al., 2010). It is strongly influenced by biotic and abiotic conditions (Egbal et al., 2011). These include sex, age, state of maturity, size, state of stomach fullness, sampling methods and sample sizes and environmental conditions affect fish condition and parameters of length-weight relationships in fish (Ama-Abasi, 2007; Yem et al., 2007; Adeyemi et al., 2009).

Sex ratio. The overall sex ratios reported for H. fasciatus, S. nigrita and T. zilli were not significantly different from the expected 1:1 ratio. The sex ratios of 1:1.11, 1:0.93 for H. fasciatus and T. zilli compares with the reports of Omotayo et al. (2018) for T. zilli (1: 1.35) and O. niloticus (1: 0.85) and Kefas et al., (2020) for O. niloticus (1: 1.56), where males and females occurred in almost equal proportions. Results from this study were in contrast to the findings of Omotayo et al. (2018) for M. anguilodes (1:5.5) and Fagbuaro et al. (2019) for C. gariepinus (1:0.33), where females outnumbered males and males outnumbered females, respectively. The sex ratio observed for S. nigrita (1:0.89) was similar to the ratio of 1:1.47 reported for same species by Olojo et al. (2012) and related species S. schall (1:1.1), S. clarias and S. schall (1:1, 1:1), S. schall (1:1.04), S. eupterus (0.96:1), S. schall (1:0.9), S. schall (1:1.35), S. schall (1:1.39) by Laleye et al. (2006), Akombo et al. (2011), Mekkawy and Hassan (2011), Shinkafi and Dameji (2011), Oboh et al. (2013), Akombo et al. (2015), and Elias (2016). However, a ratio of 1:2.5 and 1:3 was reported for S. nigrita by Laleye et al. (2006) and Olele and Etim (2011), where females significantly outnumbered males. The differences in sex ratios among same and related fish may be due to fishing gear selectivity during sampling, mortality and survival rate among species, migration of different sexes during feeding and spawning, the age difference, and the sex present during sampling (Oboh et al., 2014).

CONCLUSIONS

This study provides information on some important aspects of the fish biology of Hemichromis fasciatus, Synodontis nigrita and Tilapia zillii in the Ovia River, which includes morphometric characters, length-weight relationship, the condition factor, and sex ratios. These data are helpful tools for fisheries management and conservation for freshwater fishes.

Acknowledgements

The authors are grateful to the laboratory technicians at the Department of Animal and Environmental Biology, University of Benin for their support in this work.

Received 11 April 2022
Accepted 11 May 2022

References

1. Abowei JFN. The condition factor, length-weight relationship and abundance of Elopssenegalensis (Regan, 1909) from Nkoro River, Niger delta, Nigeria. Adv J Food Sci Technol. 2009; 2: 16–21.

2. Abowei JFN, Hart AI. Some morphometric parameters of ten species from the Lower Nun River, Niger Delta. Res J Bio Sci. 2009; 4: 282–8.

3. Adaka GS, Udoh JP, Onyeukwu DC. Freshwater fish diversity of a tropical rainforest river in Southeast Nigeria. Adv Life Sci Technol. 2014; 23: 16–23.

4. Adeyemi SO. Length-weight relationship and condition factor of Protopterus annectens (OWEN) in Idah area of River Niger, Nigeria. Animal Res Int. 2010; 7: 1264–6.

5. Adeyemi SO, Bankole NO, Adikwu IA, Akombo PM. Age, growth and mortality of some commercially important fish species in Gbadikere lake, Kogi State, Nigeria. Int J Lakes Rivers Res. India Pub. 2009; 2: 63–9.

6. Akombo PM, Akange ET, Atile JI. Age and growth of catfish Synodontis schall, (Bloch and Schneider, 1801) in the Lower Benue River, at Makurdi, Nigeria. Int J Fish Aquat Stud. 2015; 2: 184–90.

7. Akombo PM, Akange ET, Adikwu IA, Araoye PA. Length-weight relationship, condition factor and feeding habits of Synodontis schall, (Bloch and Schneider, 1801) in the River Benue, at Makurdi, Nigeria. Int J Fish Aquat Stud. 2014; 1: 42–8.

8. Akombo PM, Atile JI, Adikwu IA, Araoye PA. Morphometric measurements and growth patterns of four species of the genus Synodontis (Cuvier, 1816) from Lower Benue River, Makurdi, Nigeria. Int J Fish Aquac. 2011; 3: 263–70.

9. Ama-Abasi D. A review of length-weight relationship and its parameters in Aquatic species. In: Proceedings of the 22nd Annual Conference of the Fisheries Society of Nigeria, Kebbi, Kebbi State, Nigeria. 12th–16th November, 2007. 240–4 pp.

10. Anyanwu AO, Ugwumba OA. Studies on the morphometric, meristic and electrophoresis patterns of Pseudotolithus species. The Zoologist. 2003; 2: 70–7.

11. Araoye PA. The head- body weight and Head-body length relationship of Synodontis schall (Bloch and Schneider, 1801) in Asa Dam, Ilorin, Nigeria. In: Proceedings of the Fisheries Society of Nigeria (FISON), Ilorin, Nigeria. 29th November to 3rd December, 2004, 288–91.

12. Bagenal TB. Aspects of fish fecundity; In: S.D. Gerking (ed). Ecology of Freshwater Fish Production. Blackwell Scientific Publication, Oxford. 1978, 20–39.

13. Berger J, Gompper ME. Sex ratios in extant ungulates: products of contemporary predation or past life histories? J Mammal. 1999; 80: 1084–113.

14. Dan-Kishiya AS. Length-weight relationship and condition factor of five fish species from a tropical water supply reservoir in Abuja, Nigeria. Am J Res Commun. 2013; 1: 175–87.

15. Dienye HE, Olopade OA. Length-Weight Relationship and Condition Factor of Fish Species Caught by Cast Net in New Calabar River, Nigeria. Asian J Fish Aquatic Res. 2018; 2: 1–13.

16. Egba OA, Mohammed EA, Afra AA. Length-weight relationships and condition factors of six fish species in Atbara river and Khashm el- Girba reservoir, Sudan. Int J Agric Sci. 2011; 3: 65–70.

17. Egun NK, Oboh IP. Potential contribution of captured fishes to the recommended nutrient intakes (RNIs): A case study of commercial fish species from Ikpoba reservoir, Edo State, Nigeria. Measurement: Food. 2022; 5: 100014.

18. Elias D. Length-weight relationship, breeding season, sex ratio, maturity and fecundity of the Nile catfish Synodontis schall (Bloch and Schneider, 1801) (Pisces: Mochokidae) in Lake Chamo, Ethiopia. Ethiop J Sci Technol. 2016; 9: 87–102.

19. Emeribe CN, Ogbomida ET, Fasipe OA, Biose O, Aganmwonyi I, Isiekwe M, Fasipe IP. Hydrological assessments of some rivers in Edo State, Nigeria; for small-scale hydropower development. Nigerian J Technol. 2016; 35: 656–68.

20. Fagbenro OA, Olaniran TS, Esan AO. Some aspect of the biology of the catfish, Heterobranchus bidorsalis Geoffrey Saint-Hallare, 1809 (Clariidae) in River Ogbese, Nigeria. J Afri Zoo. 1991; 105: 363–72.

21. Fagbuaro O, Ola-Oladimeji FA, Ekundare OV, Adebayo CO, Akinyemi O. Length-weight relationship and condition factor of Clarias gariepinus from Igbokoda, Ondo State, Nigeria. J Zoolog Res. 2019; 3: 15–8.

22. Faguaro O, Oso JA, Ola-Oladimeji D, Folasade A, Olafusi T, Akinyemi O. Comparative biometric variations of two cichlidae: Oreochromis niloticus and Tilapia zillii from a dam in Southwestern Nigeria. AJRC. 2016; 4: 119–29.

23. Idodo-Umeh G. Freshwater fishes of Nigeria (Taxonomy, Ecological notes, Diet and Utilization). Idodo-Umeh Publishers Ltd. Benin City, Edo State, Nigeria. 2003. 232 pp.

24. Ighwela A, Ahmed B, Abol-Munafi B. Condition factor as an indicator of growth and feeding intensity of Nile Tilapia fingerlings (Oreochromisniloticus) fed on different levels of Maltose. AEJAES. 2011; 11: 559–63.

25. Ikongbeh OA, Ogbe FG, Solomon SG. Length-weight relationship and condition factor of Auchenoglanis occidentalis (Valenciennes, 1775) from Lake Akata, Benue State, Nigeria. J Agric Vet Sci. 2013; 3: 11–17.

26. Kefas M, Jidauna SB, Michael KG, Wasa GF. Length-weight relationship, condition factor and feeding habits of Oreochromisniloticus from Lake Geriyo, Yola, Adamawa State, Nigeria. Int J Res Agric For. 2020; 73: 13–20.

27. Konan KJ, Eyi AJ, N’Da K, Atsé BC. Length-weight relationship and condition factor for 18 fish species from Ono, Kodjoboué and Hébé lagoons, Southeast of Ivory Coast. Int J Fish Aquat Stud. 2017; 5: 13–8.

28. Lalèyè P, Chikou A, Gnohssou P, Vandewalle JCP, Teugels G. Studies on the Biology of two species of catfish Synodontis schall and Synodontis nigrita (Ostariphysi: Mochokidae) from the Ouémé River. Bénin. Belgium J Zool. 2006; 136: 193–201.

29. Le-Cren ED. The length weight relationship and seasonal cycle in gonad weight and condition in the perch (Perca fluviatilis). J Animal Ecol. 1951; 20: 201–19.

30. Liker A, Sz’ekely T. Mortality costs of sexual selection and parental care in natural populations of birds. Evolution. 2005; 59: 890–7.

31. Mekkawy IAA, Hassan AA. Some reproductive parameters of Synodontis schall (Bloch and Schneider, 1801) from River Nile, Egypt. J Fish Aquat Sci. 2011; 6: 456–71.

32. Mir JI, Sarkar UK, Dwivedi AK, Gusain OP, Pal A, Jena JK. Pattern of intrabasin variation in condition factor, relative condition factor and form factor of Indian major Carp, Labeo rohita (Hamilton Buchanan 1822) in the Ganga basin, India. Eur J Biol Sci. 2012; 4: 126–35.

33. Muyideen OL, Oluwabamise JS, Bola MS. Morphometry and diet of Chrysichthys nigrodigitatus (Lacepède, 1803) in Epe Lagoon, Lagos, Nigeria. Afr J Biotechnol. 2010; 9: 7955–60.

34. Ndimele PE, Kumolu-Johnson CA, Aladetohun NF, Ayorinde OA. Length-weight relationship, condition factor and dietary composition of Sarotherodon melanotheron, Ruppell, 1852 (Pisces: Cichlidae) in Ologe Lagoon, Lagos, Nigeria. ABJNA. 2010; 1: 584–90.

35. Nelson JS, Grande TC, Wilson MVH. Fishes of the world. 5th edition. John Wiley and Sons, Inc. New York. 2006. 601 p.

36. Nurul-Amin SM, Arshad A, Siraj SS, Bujang JS. Population structure, growth and length weight relationship of Sergestid shrimps (Acetes spp.) from the Coastal Waters of Malacca, Peninsular Malaysia. Sains Malaysiana. 2009; 38: 159–69.

37. Obasohan EE, Obasohan EE, Imasuen JA, Isidahome CE. Preliminary studies of the length-weight relationships and condition factor of five fish species from Ibiekuma stream, Ekpoma, Edo state, Nigeria. J Agric Res Dev. 2012; 2: 061–9.

38. Oboh IP, Ogbeibu AE, Ogoanah SO. Gonadal Development, Fecundity and Spawning Pattern of Synodontis Schall (Pisces: Mochokidae) From Jamieson River, Nigeria. Res Rev: JZS. 2013; 1: 13–23.

39. Oboh IP, Omoigberale MO, Mbaka EG. Some aspects of the reproductive biology of Elephant-nose fish, Gnathonemus petersii Gunther, 1862 (Osteichthytes: Mormyridae) in Ovia River, Edo State, Nigeria. Bio Environ Sci J Trop. 2014; 11: 321–8.

40. Olapade OA, Mawundu S, Amidu M. Length-weight relationship and condition factor of Notopterus afer (Günther, 1868) and Lates niloticus (Linnaeus, 1762) in river Jong, Sierra Leone. J Fish Life Sci. 2019; 4: 15–8.

41. Olele NF, Etim L. Some aspects of the biology of Synodontis nigrita (Curvier and Valencienes, 1864) in Onah Lake, Asaba, Nigeria. ARPN J Agric Bio Sci. 2011; 6: 56–63.

42. Olojo EAA, Dosumu AO, Olurin KB. Fecundity and Gonadosomatic index of Synodontis nigrita from River Osun, Southwest Nigeria. J Fish Int. 2012; 7: 26–9.

43. Olowosegun OM, Ataguba GA. Length-weight relationship and condition factor of two Hydrocynus species in Lake Kainji, Nigeria. 25th Annual International Conference and Exhibition in Administrative Staff College of Nigeria (ASCON), Topo-Badagry, Lagos, Nigeria, 25–29 October, 2010. p. 625–32.

44. Omotayo F, Oluwadare A, Modupe AM. Length-weight relationship and condition factor of two species of tilapia and one species of mormyrops from a Tropical Dam in a Southwestern State, Nigeria. J Ecol Nat Resour. 2018; 2: 124.

45. Oribhabor BJ, Ogbeibu AE, Udo MT. The length-weight relationship of brackish water/marine fish species assemblage in Niger Delta Mangrove Creek, Nigeria. Curr ResJ Bio Sci. 2011; 3: 616–21.

46. Promislow D. Mate choice, sexual conflict, and evolution of senescence. Behav Genet. 2003; 33: 191–201.

47. Sarkar UK, Deepak PK, Negi RS. Length – weight relationship of clown knife fish Chitala chitala (Hamilton 1822) from the Ganga basin, India. J Appl Ichthyol. 2008; 25: 231–3.

48. Shinkafi BA, Daneji AI. Morphology of Synodontis eupterus (Boulenger) from River Rima, Northwestern Nigeria. Int JZooll Res. 2011; 7: 382–92.

49. Singh U, Nautiyal P. Length-weight relationship and relative condition factor of some hill stream fishes, India. Int J Fish Aquat Stud. 2017; 5: 525–9.

50. Sommer S. Sex-specific predation on a monogamous Rat, Hypogeomys antimena (Muridae: Nesomyinae). Anim Behav. 2000; 59: 1087–94.

51. Tesch FW. Age and growth. In: W. E. Ricker (Eds.). Methods for the Assessment of Fish production in Fresh Water. Blackwell Scientific Publications, Oxford. 1971; 99–130.

52. Tsoumani M, Liasko R, Moutsaki P, Kagalou I, Leonardos I. Length-weight relationships of an invasive Cyprinid fish (Carassius gibelio) from 12 Greek Lakes in relation to their trophic states. J Appl Ichthyol. 2006; 22: 281–4.

53. UNOCHA. Humanitarian Response Plan: Nigeria; United Nations Office for the Coordination of Humanitarian Affairs: Abuja, Nigeria, 2018.

54. Vicentini RN, Araujo FG. Sex ratio and size structure of Micropogonias furneiri (Desmaarest, 1823’’ Perciformes, Sciaenidae) in Sepetiba bay, Rio de Janeiro, Brazil. Braz J Bio. 2003; 3: 559–66.

55. Weisel GF. Variation in number of fin rays of two Cyprinid fishes correlated with natural water temperatures. Ecology. 2000; 36: 1–6.

56. Yem IY, Sani OA, Mshelia MB, Onimisi HU. The length-weight Relationship and Condition Factor of the Banded Jewel Fish (Hemichromis fasciatus PETERS) from Kainji Lake, Nigeria. In: Proceedings of the 22nd Annual Conference of the Fisheries Society of Nigeria (FISON), Kebbi, Kebbi State, Nigeria. 12–16 November, 2007: 15–23.

57. Zafa M, Mussadeleq Y, Akhter S, Sultan A. Weight-length and condition factor relationship of Thaila, Catla catla from Rawal Dam Islamabad, Pakistan. Pakistan J Bio Sci. 2003; 6(17): 1532–4.

*Corresponding author. Email: kenegun@yahoo.com

Ukpamufo Cyril Olowo, Nkonyeasua Kingsley Egun, Aisosa Precious Ehigiator, Ijeoma Patience Oboh

OVIJOS UPĖS ŽUVŲ RŪŠIŲ AUGIMO ANALIZĖ IR LYTIES SANTYKIS (EDO VALSTIJA, NIGERIJA)

Santrauka

Šiame tyrime buvo analizuotas Hemichromis fasciatus, Synodontis nigrita ir Tilapia zillii ilgio ir svorio santykis, būklė ir lyties santykis Ovijos upėje, Edo valstijoje (Nigerija). Padedant žvejams amatininkams, žuvys buvo gaudomos 2021 m. vasario–balandžio mėnesiais įvairaus dydžio tinklais. Atliktas lytinių liaukų taksonominis identifikavimas, morfometrinis matavimas ir makroskopinis tyrimas. Žuvies ilgio ir kūno svorio ryšys buvo nustatytas tiesinės regresijos lygtimi, o būklė ir lyties santykis analizuoti standartiniais metodais. Ilgio ir svorio santykis (LWR) rodo reikšmingą (p < 0,05) koreliaciją, o H. fasciatus, S. nigrita ir T. zillii augimo eksponentas „b“ (atitinkamai 2,973, 2,340 ir 2,565) – neigiamą alometrinį augimo modelį. Vidutinės būklės reikšmės svyravo nuo 2,34 iki 5,68 ir patvirtino gerą žuvų sveikatos būklę. Santykis tarp patinų ir patelių reikšmingai nesiskyrė (p > 0,05): H. fasciatus (1:1,11), S. nigrita (1:0,89) ir T. zillii (1:0,93). Šis tyrimas suteikė informacijos apie kai kuriuos Hemichromis fasciatus, Synodontis nigrita ir Tilapia zillii žuvų biologijos aspektus Ovijos upėje. Gauti duomenys yra naudingi žvejybos valdymui ir gėlavandenių žuvų išsaugojimui.

Raktažodžiai: gėlavandenės žuvys, ilgio ir svorio santykis, neigiamas alometrinis augimas, būklė, amatinė žvejyba, Ovijos upė